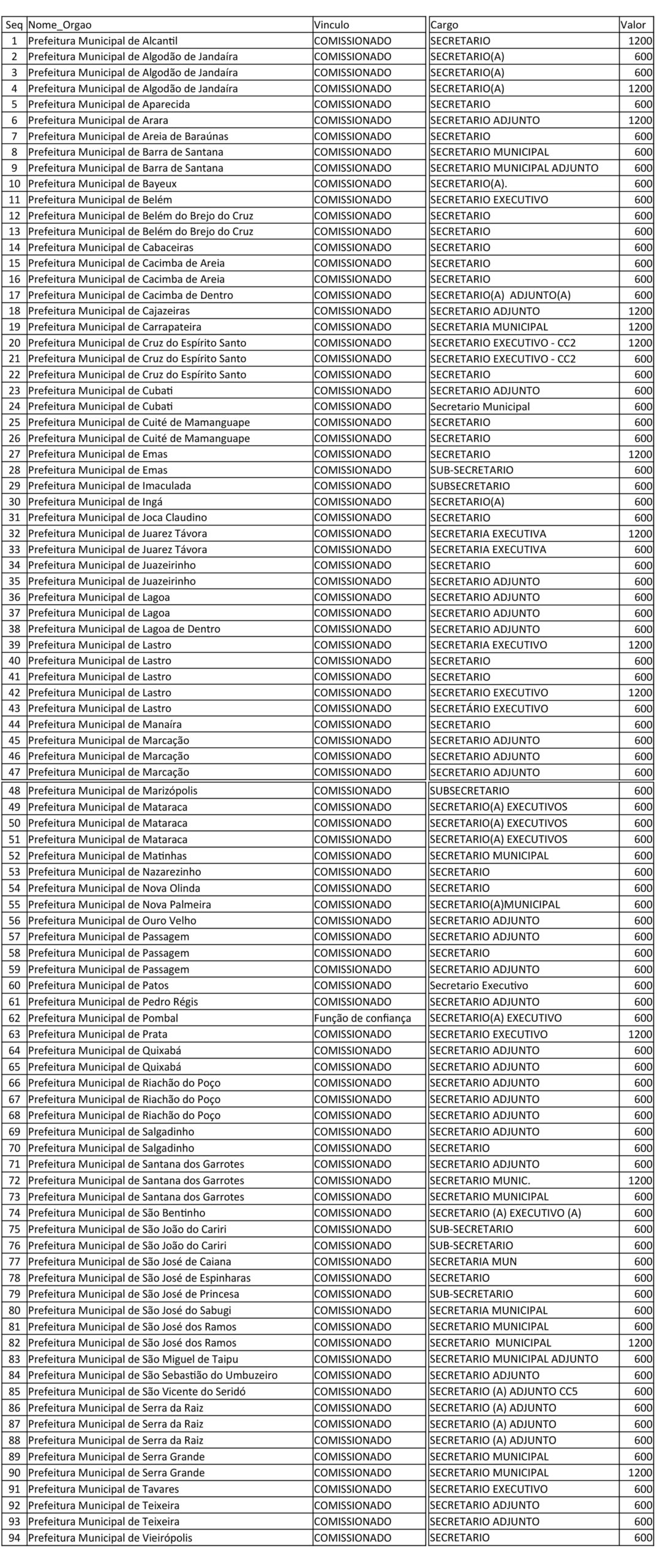
Um levantamento realizado pela Controladoria Geral da União (CGU) na Paraíba identificou que 94 secretários municipais da Paraíba receberam auxílio emergencial do Governo Federal. Alguns receberam o valor de R$ 600, enquanto outros obtiveram o benefício de R$ 1.200 destinado a chefes de família.
Os secretários foram identificados dentro da lista de quase 30 mil pessoas que receberam o auxílio indevidamente na Paraíba, conforme informou o superintendente da CGU-PB, Severino Queiroz.
Os dados já foram enviados para o Ministério Público Federal e a Polícia Federal. Na lista (veja abaixo) aparecem secretários de municípios paraibanos como Cabaceiras, Cajazeiras, Bayeux, Patos e Pombal.







